| 1. ถ้า x + 5 = 7 ดังนั้น x = 2 จะเป็นไปตามสมบัติในข้อใด |
| |
1. สมมาตร |
2. การถ่ายทอด |
| |
3. การบวก |
4. การคูณ |
 |
| |
| 2. ข้อใดต่อไปนี้เป็นไปตามสมบัติการถ่ายทอด |
| |
1. ถ้า x = m + n และ m + n = y แล้ว m + n = x |
2. ถ้า a + b = c และ c = k แล้ว a + b = k |
| |
3. ถ้า x (a + b) = xa + xb และ a + b = c แล้ว x = c |
4. ถ้า kx + ky = k(x + y) แล้ว x + y = k |
 |
| |
|
|
| 3. จากสมการ 3y + 4 + 10y – 17 = 14 – 23y + 16 – 7y จงหาค่า y |
| |
1. 1 |
2. 3 |
| |
3. 5 |
4. 7 |
 |
| |
|
|
4. ถ้า จงหาค่า x |
| |
1. -10 |
2. -5 |
| |
3. 0 |
4. 10 |
 |
| |
|
|
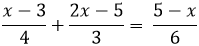
5. จงหาค่า x |
| |
1.  |
2.  |
| |
3.  |
4.  |
 |
| |
|
|
6. (x + 3)(x - 2) มีค่าเท่าใด ถ้า  |
| |
1. 0 |
2. 3 |
| |
3. 6 |
4. 9 |
 |
| |
|
|
7. แล้ว (m + n)y คือข้อใด |
| |
1. 2mn |
2. m + n |
| |
3. 2m – n |
4.  |
 |
| |
|
|
8. ค่าของ x จากสมการ ตรงกับข้อใด |
| |
1. -2.3 |
2. -2.4 |
| |
3. 2.5 |
4. 2.6 |
 |
| |
|
|
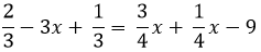
9. จงหาค่า x จากสมการ  |
| |
1.  |
2.  |
| |
3.  |
4.  |
 |
| |
|
|
10.  |
| |
1. 18 |
2. 26 |
| |
3. 40 |
4. 58 |
 |
| |
|
|
11. ปัจจุบันบิดามีอายุ 66 ปี เมื่อ 6 ปี ล่วงมาแล้วบุตรมีอายุเป็น ของบิดา ปัจจุบันบุตรมีอายุเท่าใด |
| |
1. 25 ปี |
2. 31 ปี |
| |
3. 37 ปี |
4. 43 ปี |
 |
| |
|
|
| 12. สี่เหลี่ยมผืนผ้ารูปหนึ่งมีความยาวของเส้นรอบรูปเท่ากับ 33 เซนติเมตร ถ้าความกว้างยาวกว่าครึ่งหนึ่งของความยาวอยู่ 3 เซนติเมตร แล้วสี่เหลี่ยมผืนผ้ารูปนี้จะมีพื้นที่กี่ตารางเซนติเมตร |
| |
1. 67 |
2. 67.5 |
| |
3. 76 |
4. 76.5 |
 |
| |
|
|
| 13. ที่ดินรูปสามเหลี่ยมหน้าจั่วมีฐานยาวเป็นครึ่งหนึ่งของด้านที่ประกอบมุมยอด ถ้าค่าจ้างล้อมรั้วที่ดินเป็นเงิน 2,250 บาท โดยคิดค่าจ้างเมตรละ 50 บาท จงหาว่าด้านประกอบมุมยอดยาวด้านละกี่เมตร |
| |
1. 9 เมตร |
2. 13 เมตร |
| |
3. 18 เมตร |
4. 20 เมตร |
 |
| |
|
|
| 14. ในงานวัดแห่งหนึ่งมีเกมการปาเป้าโดยมีกติกาว่าถ้าผู้เล่นปาเป้าแต่ละครั้ง ถ้าปาถูกจะได้รับเงิน 8 บาท ถ้าปาผิดจะเสียเงิน 3 บาท ชายคนหนึ่งปาเป้าไปแล้ว 24 ครั้ง เขาต้องจ่ายเงิน 17 บาท อยากทราบว่าปาเป้าถูกทั้งหมดกี่ครั้ง |
| |
1. 7 ครั้ง |
2. 6 ครั้ง |
| |
3. 5 ครั้ง |
4. 4 ครั้ง |
 |
| |
|
|
| 15. ในกล่องออมสินใบหนึ่งมีเหรียญบาทและเหรียญห้าบาทอยู่รวมกัน 72 เหรียญ คิดเป็นเงิน 172 บาท จงหาว่าในกล่องใบนั้นมีเหรียญห้าบาทอยู่กี่เหรียญ |
| |
1. 25 |
2. 28 |
| |
3. 32 |
4. 47 |
 |
| |
|
|
16. เน และ แนน อยู่ห่างกัน 2 กิโลเมตร ออกเดินทางพร้อมกันและไปในทางเดียวกัน เนเดินทางด้วยความเร็ว 3 กิโลเมตรต่อชั่วโมง แนนเดินทางด้วยความเร็ว 4 กิโลเมตรต่อชั่วโมง แนนเดินทางตามเนไปนานเท่าไรจึงจะทันเน |
| |
1. 2 ชั่วโมง |
2. 4 ชั่วโมง |
| |
3. 3 ชั่วโมง |
4. 5 ชั่วโมง |
 |
| |
|
|
| 17. ถังใบหนึ่งมี 3 ท่อ ก, ข, ค ท่อ ก เปิดน้ำเข้าเต็มถังในเวลา 16 นาที ท่อ ข เปิดน้ำเข้าเต็มถังในเวลา 20 นาที ท่อ ค เปิดน้ำหมดถึงในเวลา 12 นาที ถ้าถังว่างอยู่เปิดท่อทั้ง 3 พร้อมกัน น้ำจะเต็มถังในวลากี่นาที |
| |
1. 30 นาที |
2. 32 นาที |
| |
3. 33 นาที |
4. 34 นาที |
 |
| |
|
|
| 18. พ่อค้าซื้อผ้าลูกไม้ 20 หลา และผ้าไหม 25 หลา สิ้นเงิน 4,500 บาท ถ้าเขาขายผ้าลูกไม้ไปได้กำไร 15% ขายผ้าไหมได้กำไร 20 % ทำให้เขาได้กำไรทั้งหมด 750 บาท อยากทราบว่าเขาซื้อผ้าลูกไม้ราคาหลาละกี่บาท |
| |
1. 60 บาท |
2. 80 บาท |
| |
3. 120 บาท |
4. 150 บาท |
 |
| |
|
|
| 19. ก เดินเร็วกว่า ข ชั่วโมงละ 2 กิโลเมตร ก เดินทาง 18 กิโลเมตร ใช้เวลาเท่ากับ ข เดิน 15 กิโลเมตร ดังนั้น ก เดินได้ชั่วโมงละกี่กิโลเมตร |
| |
1. 10 |
2. 12 |
| |
3. 14 |
4. 15 |
 |
| |
|
|
| 20. บุรฉัตรเย็บเอกสารได้ 75 ชุดต่อนาที ปภัสราเย็บเอกสารได้ 115 ชุดต่อนาที ถ้าปภัสราเย็บเอกสารเมื่อบุรฉัตรเย็บไปแล้ว 2,600 ชุด ปภัสราจะต้องเย็บเอกสารไปนานเท่าไร จึงจะได้จำนวนชุดของเอกสารเท่ากับของบุรฉัตร |
| |
1. 40 นาที |
2. 65 นาที |
| |
3. 78 นาที |
4. 90 นาที |
 |
| |
|
|