1. ให้ U = {2, 3, 4, 10}, A = {2, 4, 6}, B = {3, 4, 5, 6, 7}, C = {3, 5, 7, 9} แล้ว (A – C)' B คือข้อใด |
| |
1. {3, 4} |
2. {3, 5, 7} |
| |
3. {3, 4, 5, 6, 7, 8, 9} |
4. {2, 3, 4, 5, 6, 7, 8, 10} |
| |
2. กำหนดให้ U = {l,2,3,4,5,6,7,8,9}, 1 A, A B = {2,3}, A C = {2,6}, B C = {2,4,7}, A U B U C = {1,2, 3,4, 5, 6, 7, 8}, C - A = {4,5,7} ข้อใดผิด |
| |
1. A - B = {6, 8} |
2. B - C = {1,3} |
| |
3. A' U (B C) = { 1, 2, 4, 5, 7, 9} |
4. [A - ( B U C)] (A B) ≠ |
| |
|
3. ให้ A, B และ C เป็นเซต และ U = A U B U C ถ้า A B, A C, B C, A B C และ U มีจำนวนสมาชิกเท่ากับ 8, 9, 10, 3 และ 45 ตามลำดับ ผลบวกของจำนวนสมาชิกของเซต A - (B U C), B - (A U C) และ C - (B U A) คือข้อใด |
| |
1. 24 |
2. 23 |
| |
3. 22 |
4. 21 |
| |
|
4. กำหนดให้ n(U) = 150, n(A B) = 50, n(C) = 10, n(A) = 70, n(B) = 80 และ C (A B) จงหา n(A B') + n(B - A) + n(A U B U C)' |
| |
1. 50 |
2. 70 |
| |
3. 100 |
4. 130 |
| |
|
| 5. ถ้า A และ B เป็นเซตใด ๆ ซึ่ง n(P(A)) = 32, n(P(B)) = 8 และ n(P(A U B)) = 64 แล้ว n(A - B) เท่ากับข้อใด |
| |
1. 4 |
2. 3 |
| |
3. 2 |
4. 1 |
| |
|
6. ในการสอบของนักเรียนชั้นหนึ่ง พบว่ามีผู้สอบวิชาต่างๆ ดังนี้
คณิตศาสตร์ 36 คน สังคม 50 คน ภาษาไทย 44 คน คณิตศาสตร์และสังคม 15 คน
ภาษาไทยและสังคม 12 คน คณิตศาสตร์และภาษาไทย 7 คน ทั้งสามวิชา 5 คน
จำนวนผู้สอบผ่านอย่างน้อยหนึ่งวิชามีกี่คน |
| |
1. 99 คน |
2. 100 คน |
| |
3. 101 คน |
4. 102 คน |
| |
| 7. สมบัติเคยเห็นพระอาทิตย์ขึ้นตอนเช้าทางทิศตะวันออกมาโดยตลอด เขาจึงสรุปว่า "พรุ่งนี้เช้าพระอาทิตย์ขึ้นทางทิศตะวันออก" สมบัติสรุปแบบนี้โดยใช้วิธีการให้เหตุผลแบบใด |
| |
1. แบบนิรนัย |
2. ทั้งแบบนิรนัยและอุปนัย |
| |
3. แบบอุปนัย |
4. ไม่ใช่ทั้งแบบนิรนัยและอุปนัย |
| |
8. สมศรีออกจากบ้านไปทำงาน และบันทึกข้อมูลไว้ดังนี้
วันจันทร์ออกจากบ้าน 7.30 น. ไปถึงที่ทำงานสายไป 30 นาที
วันอังคารออกจากบ้าน 7.30น. ไปถึงที่ทำงานสายไป 24นาที
วันพุธออกจากบ้าน 7.30 น. ไปถึงที่ทำงานสายไป 32 นาที
วันพฤหัสบดีออกจากบ้าน 7.20 น. ไปถึงที่ทำงานสายไป 18 นาที
วันศุกร์ออกจากบ้าน 7.08 น. ไปถึงที่ทำงานสายไป 5 นาที
สมศรีอยากไปถึงที่ทำงานก่อนเวลาทำงานเล็กน้อย สมศรีควรออกจากบ้านเวลาใด |
| |
1. ออกจากบ้าน 7.15 น. |
2. ออกจากบ้านระหว่าง 7.05 - 7.15 น. |
| |
3. ออกจากบ้านก่อนเวลา 7.00 น. เล็กน้อย |
4. ออกจากบ้านก่อน 5.00 น. |
| |
|
|
9. กำหนดเหตุ : 1. ม้าทุกตัวมี 4 ขา
2. สัตว์ที่มี 4 ขาทุกตัวว่ายนํ้าได้
3. ปลาทุกตัวว่ายนํ้าได้
ข้อสรุปที่สมเหตุสมผลคือข้อใด |
| |
1. สัตว์ที่ว่ายนํ้าได้บางตัวเป็นม้า |
2. ปลาบางตัวเป็นม้า |
| |
3. ปลาบางตัวมี 4 ขา |
4. สัตว์ที่มี 4 ขาบางตัวเป็นปลา |
| |
|
|
| 10. ข้อใดไม่ถูกต้อง |
| |
1. ประพจน์ เป็นจริงเพียงกรณีเดียว คือกรณี P กับ q เป็นจริงทั้งคู่ |
| |
2. ประพจน์ เป็นจริงเพียงกรณีเดียว คือกรณี P กับ q เป็นจริงทั้งคู่ |
| |
3. ประพจน์ เป็นเท็จเพียงกรณีเดียว คือกรณี P กับ q เป็นเท็จทั้งคู่ |
| |
4. ประพจน์ เป็นเท็จเพียงกรณีเดียว คือกรณี P เป็นจริง แต่ q เป็นเท็จ |
| |
|
|
11. กำหนดให้ p, q, r และ s เป็นประพจน์โดยที่ q และ r ต่างมีความจริงเป็นเท็จ พิจารณาข้อความต่อไปนี้
1) มีค่าความจริงเป็นจริง
2) มีค่าความจริงเป็นจริง
ข้อใดถูก |
| |
1. ข้อ 1. ถูก และ ข้อ 2. ถูก |
2. ข้อ 1. ถูก และ ข้อ 2. ผิด |
| |
3. ข้อ 1. ผิด และ ข้อ 2. ถูก |
4. ข้อ 1. ผิด และ ข้อ 2. ผิด |
| |
12. ให้ p, q และ r เป็นประพจน์ใดๆ ถ้าค่าความจริงของ เป็นเท็จ แล้วค่าความจริงของ จะเหมือนกับค่าความจริงของประพจน์ใด |
| |
1.  |
2.  |
| |
3.  |
4.  |
| |
|
|
13. ไม่สมมูลกับข้อใด |
| |
1.  |
2.  |
| |
3.  |
4.  |
| |
|
|
14. ถ้า p, q, r เป็นประพจน์โดยที่ มีค่าความจริงเป็นจริงทั้งคู่ พิจารณา
1) มีค่าความจริงเป็นจริง
2) มีค่าความจริงเป็นจริง
ข้อใดถูกต้อง |
| |
1. ทั้งข้อ 1. และข้อ 2. ถูก |
2. ข้อ 1. ถูก และข้อ 2. ผิด |
| |
3. ข้อ 1. ผิด และ ข้อ 2. ถูก |
4. ทั้งข้อ 1. และข้อ 2. ผิด |
| |
|
|
15. จงพิจารณาข้อความต่อไปนี้
1) ถ้าประพจน์ p กับประพจน์q สมมูลกันแล้ว เป็นสัจนิรันดร์
2) ถ้าประพจน์ p กับประพจน์ q เป็นนิเสธกันแล้ว เป็นสัจนิรันดร์
ข้อสรุปใดถูกต้อง |
| |
1. ข้อ1. ถูกข้อเดียว |
2. ข้อ 2. ถูกข้อเดียว |
| |
3. ถูกทั้งสองข้อ |
4. ผิดทั้งสองข้อ |
| |
16. จงพิจารณาข้อความต่อไปนี้
1) ให้ U = {—1,0,1} แล้วประพจน์ มีค่าความจริงเป็นจริง
2) ให้ U = { —2,-1, 0,1} แล้ว ประพจน์ มีค่าความจริงเป็นเท็จ
ข้อสรุปใดถูกต้อง |
| |
1. ข้อ1. ถูกข้อเดียว |
2. ข้อ 2. ถูกข้อเดียว |
| |
3. ผิดทั้งสองข้อ |
4. ถูกทั้งสองข้อ |
| |
|
|
17. จงพิจารณาข้อความต่อไปนี้
1) นิเสธของ 
2) นิเสธของ 
จะสรุปผลได้ตามข้อใด |
| |
1. ข้อ 1. จริง ข้อ 2. จริง |
2. ข้อ 1. จริง ข้อ 2. เท็จ |
| |
3. ข้อ 1. เท็จ ข้อ 2. จริง |
4. ข้อ 1. เท็จ ข้อ 2. เท็จ |
| |
|
|
| 18. ให้เอกภพสัมพัทธ์คือ {1,2,3} ข้อใดมีค่าความจริงเป็นเท็จ |
| |
1.  |
2.  |
| |
3.  |
4.  |
| |
|
|
| 19. กำหนดให้ x และ y เป็นจำนวนจริง และ x*y = x(x - y) ค่าของ 2 * (7 * 1) คือข้อใด |
| |
1. -80 |
2. 80 |
| |
3. 60 |
4. 84 |
| |
| 20. ให้ P(x) = x4 + Ax3 + Ax + 4 และ x - 2 หาร p(x) เหลือเศษ 6 ค.ร.น. ของ p(-2) กับ 51 คือข้อใด |
| |
1. 80 |
2. 102 |
| |
3. 95 |
4. 83 |
| |
|
|
21. ข้อใดผิด กำหนดให้  |
| |
1.  |
2.  |
| |
3.  |
4.  |
| |
|
|
| 22. จงหาค่าของ x ที่สอดคล้องกับอสมการ (x+2)(x-8)(x+4)(x-5) ≥ 0 |
| |
1.  |
2.  |
| |
3.  |
4.  |
| |
|
|
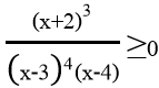
23. เซตคำตอบของอสมการ  |
| |
1.  |
2. [-2,4] |
| |
3. [-2,4) |
4.  |
| |
24. ข้อใดคือเซตคำตอบของอสมการ  |
| |
1.  |
2.  |
| |
3.  |
4.  |
| |
|
|
25. จงพิจารณาข้อความต่อไปนี้
1) เซตคำตอบของอสมการ เท่ากับเซตคำตอบของอสมการ x + 1≥0
2) ถ้า a เป็นจำนวนจริงลบแล้ว |x + 5| > -a มีเซตคำตอบคือ R (เซตของจำนวนจริง)
ข้อใดถูกต้อง |
| |
1. ถูกทั้งข้อ 1 และ 2 |
2. ถูกเฉพาะข้อ 1 |
| |
3. ถูกเฉพาะข้อ 2 |
4. ผิดทั้งข้อ 1 และ 2 |
| |
|
|
26. จงพิจารณาข้อความต่อไปนี้
1) ถ้า a * b = a(a + b) แล้ว (3 * 2) * 4 = 3 * (2 * 4)
2) ผลบวกของอินเวอร์สการบวกของคำตอบจากสมการ x3 – 2x2 —5x + 6 = 0 มีค่าเท่ากับ -2
3) ผลบวกของอินเวอร์สการคูณของคำตอบจากสมการ x3 + 2x2 -19x - 20 = 0 มีค่าเท่ากับ  |
| |
1. 1 ผิด 2 ถูก 3 ผิด |
2. 1 ผิด 2 ผิด 3 ถูก |
| |
3. 1 ถูก 2 ถูก 3 ผิด |
4. 1 ถูก 2 ผิด 3 ถูก |
| |
|
|
27. จงพิจารณาข้อความต่อไปนี้
1) เราสามารถหาค่าของ ที่เป็นจำนวนจริงได้เสมอเมื่อ x เป็นจำนวนจริงใด ๆ
2) เซตค่าตอบของ |x| (x-1)2 > 0" คือ R (เซตของจำนวนจริง)
3) ถ้า x2 เป็นจำนวนอตรรกยะแล้ว x ต้องเป็นจำนวนอตรรกยะ
ข้อใดถูกต้อง |
| |
1. ถูกทั้งข้อ 1,2 และ 3 |
2. ถูกเฉพาะข้อ 1 และ 2 |
| |
3. ถูกเฉพาะข้อ 3 |
4. ผิดทั้งข้อ 1, 2 และ 3 |
| |
| 28. เซตคำตอบของอสมการ|2x+3| < |x-4| เท่ากับข้อใด |
| |
1.  |
2.  |
| |
3.  |
4.  |