| 1.กำหนดให้ใช้ตัวเลข 0 , 1 , 2 , 4 และ 5 สร้างจำนวนที่มี 3 หลัก โดยแต่ละหลักไม่มีตัวเลขซ้ำ จงหาว่า คำตอบขอ้ใดถูกต้อง |
| |
1. จำนวนที่สร้างได้ทั้งหมด มี 120 จำนวน |
2. จำนวนที่มีค่ามากกว่า 350 มีทั้งหมด 40 จำนวน |
| |
3.จำนวนที่เป็นเลขคี่มีทั้งหมด 48 จำนวน |
4. จำนวนที่หาร 10 ลงตัวมีทั้งหมด 30 จำนวน |
 |
| 2. จงหาค่า n ซึ่งทำให้ 2Pn,2 + 50 = P2n,2 |
| |
1. 3 |
2. 4 |
| |
3. 5 |
4. 6 |
 |
| |
| 3. มีหนังสือทั้งหมด 8 เล่ม ประกอบด้วยหนังสือคณิตศาสตร์ที่เหมือนกัน 3 เล่ม หนังสือเคมีที่ไม่เหมือนกัน 3 เล่ม หนังสือฟิสิกส์ที่ไม่เหมือนกัน 2 เล่ม ต้องการนำหนังสือทั้งหมดไปเรียงกัน โดยให้หนังสือฟิสิกส์อยู่ ติดกันเสมอ จำนวนวิธีในการจัดทั้งหมดตรงกับข้อใด |
| |
1. 420 |
2. 840 |
| |
3. 1,200 |
4. 1,680 |
 |
| |
|
|
| 4. จำนวนวิธีในการจัดผู้ชาย 3 คน และผู้หญิง 4 คน ให้นั่งในแถว โดยให้ผู้ชายนั่งในตำแหน่งเลขคู่เสมอ มีค่าตรงกับข้อใด |
| |
1. 144 |
2. 288 |
| |
3. 300 |
4. 504 |
 |
| |
|
|
| 5. ในการประชุมตัวแทนนักเรียนชั้นหนึ่งซึ่งมี 4 ห้อง โดยที่มีตัวแทนห้องละ 3 คน 2 ห้อง และมีตัวแทนห้องละ 2 คน 2 ห้องจำนวนวิธีจัดให้ผู้เข้าประชุมนั่งรอบโต๊ะกลมโดยที่ผู้อยู่ห้องเดียวกันนั่งติดกันเท่ากับข้อใด |
| |
1. 144 |
2. 288 |
| |
3. 432 |
4. 864 |
 |
| |
|
|
| 6. ในการนั่งรับประทานอาหารรอบโต๊ะกลมซึ่งมี 10 ที่นั่ง ถ้าในบรรดา 10 คนที่นั่งโต๊ะนี้ มีสามีภรรยา 2 คู่ ต้องการนั่งติดกันโดยแต่ละคู่ต้องนั่งเคียงข้างกันเสมอแล้ว จำนวนวิธีการจัดนั่งของคนทั้ง 10 คน เท่ากับข้อ ใด |
| |
1. 8(6!)วิธี |
2. 56(6!)วิธี |
| |
3. 24(6!)วิธี |
4. 28(6!) วิธี |
 |
| |
|
|
| 7. มีชาย 6 คน หญิง 6 คน นั่งรอบโต๊ะกลม โดยให้ชาย 2 คนและหญิง 2 คน นั่งสลับที่กันไป และให้สามีภรรยา คู่หนึ่งนั่งติดกันด้วย จำนวนวิธีทั้งหมดตรงกับข้อใด |
| |
1. 3!5!6! |
2. 5!6! |
| |
3. (5!)2 (2) |
4. (5!)2 4! |
 |
| |
|
|
| 8. ครอบครัวหนึ่งมีพ่อแม่และลูก 4 คน นั่งรับประทานอาหารรอบโต๊ะกลม 6 ที่นั่ง พ่อแม่และลูกคนโตจะต้องไม่นั่งติดกันเลยคือข้อใด |
| |
1. 120 วิธี |
2. 12 วิธี |
| |
3. 36 วิธี |
4. 84 วิธี |
 |
| |
|
|
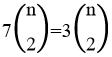
9. ถ้า แล้วค่าของ n คือข้อใด |
| |
1. 7 |
2. 9 |
| |
3. 11 |
4. 13 |
 |
| |
|
|
| 10. บ่อปลาแห่งหนึ่งเป็นวงกลม อนุญาตให้เข้าตกปลาได้ทีละ 4 คน โดยให้นั่งอยู่รอบบ่อ ถ้าครอบครัวหนึ่งมา กัน 6 คนจะจัดคนในครอบครัวนี้นั่งรอบบ่อได้ทั้งหมดกี่วิธี |
| |
1. 15 |
2. 24 |
| |
3. 45 |
4. 90 |
 |
| |
|
|
| 11. กล่องใบหนึ่งมีลูกบอล 15 ลูก เป็นสีแดง 1 ลูก สีขาว 2 ลูก นอกนั้นเป็นสีอื่น ถ้าเลือกลูกบอล 3 ลูก จากกล่อง ใบนี้ให้ได้สีแดง 1 ลูก และไม่ได้สีขาว จำนวนวิธีในการเลือกทั้งหมดตรงกับข้อใด |
| |
1. 54 |
2. 66 |
| |
3. 78 |
4. 94 |
 |
| |
|
|
| 12. โรงงานผลิตโทรทัศน์แห่งหนึ่ง สามารถผลิตได้ 20 เครื่องต่อวัน โดยมีเครื่องชำรุด 10 เปอร์เซ็นต์ ถ้าหยิบเครื่องโทรทัศน์3 เครื่องโดยการสุ่ม จำนวนวิธีที่จะไม่ได้เครื่องที่ชำรุด ตรงกับข้อใด |
| |
1. 816 |
2. 646 |
| |
3. 464 |
4. 326 |
 |
| |
|
|
| 13. ในชมรมส่งเสริมศีลธรรม มีสมาชิกเป็นพ่อบ้าน 4 คน แม่บ้าน 2 คน และเยาวชน 5 คน ต้องการเลือกกรรมการชุดหนึ่งที่มี 3 คน โดยจะต้องมีเยาวชนอย่างน้อย 1 คน จำนวนวิธีเลือกเท่ากับข้อใด |
| |
1. 5 |
2. 31 |
| |
3. 135 |
4. 145 |
 |
| |
|
|
| 14. นักเรียนคนหนึ่งต้องทำข้อสอบ 10 ข้อ จาก 13 ข้อ โดยกำหนดให้ต้องทำอย่างน้อย 3 ข้อ จาก 5 ข้อแรกนักเรียนคนนี้เลือกทำข้อสอบได้กี่วิธี |
| |
1. 287 วิธี |
2. 276 วิธี |
| |
3. 264 วิธี |
4. 247 วิธี |
 |
| |
|
|
| 15. ในเขตเลือกตั้งหนึ่งมีผู้แทนราษฎรได้ 3 คน มีผู้สมัคร 4 พรรคๆ ละ 3 คน วิธีที่จะได้ผู้แทนราษฎรที่มาจาก ต่างพรรคกันคือข้อใด |
| |
1. 24 |
2. 108 |
| |
3. 144 |
4. 648 |
 |
| |
|
|
| 16. ในงานเลี่ยงของสมาคมแห่งหนึ่ง ถ้าแขกทุกคนจับมือกันได้ 66 ครั้ง จงหาว่างานนี้มีคนมาร่วมงานทั้งหมดกี่คน |
| |
1. 6 คน |
2. 12 คน |
| |
3. 24 คน |
4. 18 คน |
 |
| |
|
|
| 17. มีคน 7 คน นำคนทั้ง 7 มานั่งรอบโต๊ะกลม 2 โต๊ะ โต๊ะแรกนั่งได้ 4 คน โต๊ะที่สองนั่งได้ 3 คน จะมีวิธีนำคนทั้ง 7 คนนั่งโต๊ะกลม 2 โต๊ะ ได้กี่วิธี |
| |
1. วิธี |
2. วิธี |
| |
3. วิธี |
4. วิธี |
 |
| |
|
|
| 18. ไพ่สำรับหนึ่งมี 52 ใบ ถ้าหยิบไพ่ 5 ใบจากสำรับนี้ จะมีกี่วิธีที่ไพ่ทั้ง 5 ใบนี้เป็น K 3 ใบและ Q 2 ใบ |
| |
1. 12 วิธี |
2. 24 วิธี |
| |
3. 28 วิธี |
4. 30 วิธี |
 |
| |
|
|
19. จงหาสัมประสิทธิ์ของ x2 จากการกระจาย  |
| |
1. ก. 120 |
2. a7 |
| |
3. 120a7 |
4. 24a |
 |
| |
|
|
20. จากการกระจาย จงหาเทอมที่ 5 |
| |
1. 20a5b2 |
2. -126a5b2 |
| |
3. 126a5b2 |
4. 116a5b2 |
 |
| |
|
|