
แบบทดสอบหลังเรียน บทที่ 4
1. กำหนดให้ A เป็นเซตคำตอบของอสมการ ||x−1|−1| <1 และ B เป็นเซตคำตอบของอสมการ
จงหา A B |
| |
1. (-1,3) |
2. (-3,1) |
| |
3. (0,4) |
4. (1,5) |
 |
| |
| 2. ถ้าเซต A เป็นคำตอบของอสมการ |2 - 2x| + |x + 2| = 4 – x แล้ว A เป็นสับเซตของข้อใดต่อไปนี้ |
| |
1. (-4,0) |
2. (-1,1) |
| |
3. (0,4) |
4. (-3,2) |
 |
| |
|
|
3. ให้ A แทนเซตของจำนวนจริง x ที่สอดคล้องกับสมการ และ B แทนเซตของจำนวนจริง x ที่สอดคล้องกับสมการ พิจารณาข้อความต่อไปนี้
 |
| |
1. ถูกทั้ง 1 และ 2 |
2. ข้อ 1 ถูก ข้อ 2 ผิด |
| |
3. ข้อ 1 ผิด ข้อ 2 ถูก |
4. ผิดทั้งข้อ 1 และ 2 |
 |
| |
|
|
| 4. กำหนดให้ a และ b เป็นจำนวนจริงบวก และ a < b จงหาเซตคำตอบของสมการ |x - a| - |x – b| = b - a |
| |
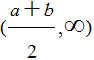
1. {b} |
2. (a, b] |
| |
3.  |
4.  |
 |
| |
|
|
| 5. กำหนดให้ x และ y เป็นจำนวนจริง และ x*y = x(x - y) ค่าของ 2 * (7 * 1) คือข้อใด |
| |
1. 80 |
2. 60 |
| |
3. 84 |
4. -80 |
 |
| |
|
|
| 6. ให้ P(x) = x4 + Ax3 + Ax + 4 และ x - 2 หาร p(x) เหลือเศษ 6 ค.ร.น. ของ p(-2) กับ 51 คือข้อใด |
| |
1. 102 |
2. 95 |
| |
3. 83 |
4. 80 |
 |
| |
|
|
7. ข้อใดผิด กำหนดให้  |
| |
1.  |
2.  |
| |
3.  |
4.  |
 |
| |
|
|
| 8. จงหาค่าของ x ที่สอดคล้องกับอสมการ (x+2)(x-8)(x+4)(x-5) ≥ 0 |
| |
1.  |
2.  |
| |
3.  |
4.  |
 |
| |
|
|
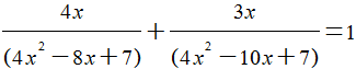
9. เซตคำตอบของอสมการ  |
| |
1. [-2,4] |
2. [-2,4) |
| |
3.  |
4.  |
 |
| |
|
|
10. ข้อใดคือเซตคำตอบของอสมการ  |
| |
1.  |
2.  |
| |
3.  |
4.  |
 |
| |
|
|
11. จงพิจารณาข้อความต่อไปนี้
1) เซตคำตอบของอสมการ เท่ากับเซตคำตอบของอสมการ x + 1≥0
2) ถ้า a เป็นจำนวนจริงลบแล้ว |x + 5| > -a มีเซตคำตอบคือ R (เซตของจำนวนจริง)
ข้อใดถูกต้อง |
| |
1. ถูกทั้งข้อ 1 และ 2 |
2. ถูกเฉพาะข้อ 1 |
| |
3. ถูกเฉพาะข้อ 2 |
4. ผิดทั้งข้อ 1 และ 2 |
 |
| |
|
|
12. จงพิจารณาข้อความต่อไปนี้
1) ถ้า a * b = a(a + b) แล้ว (3 * 2) * 4 = 3 * (2 * 4)
2) ผลบวกของอินเวอร์สการบวกของคำตอบจากสมการ x3 – 2x2 —5x + 6 = 0 มีค่าเท่ากับ -2
3) ผลบวกของอินเวอร์สการคูณของคำตอบจากสมการ x3 + 2x2 -19x - 20 = 0 มีค่าเท่ากับ  |
| |
1. 1 ผิด 2 ถูก 3 ผิด |
2. 1 ผิด 2 ผิด 3 ถูก |
| |
3. 1 ถูก 2 ถูก 3 ผิด |
4. 1 ถูก 2ผิด 3 ถูก |
 |
| |
|
|
13. จงพิจารณาข้อความต่อไปนี้
1) เราสามารถหาค่าของ ที่เป็นจำนวนจริงได้เสมอเมื่อ x เป็นจำนวนจริงใด ๆ
2) เซตค่าตอบของ |x| (x-1)2 > 0" คือ R (เซตของจำนวนจริง)
3) ถ้า x2 เป็นจำนวนอตรรกยะแล้ว x ต้องเป็นจำนวนอตรรกยะ
ข้อใดถูกต้อง |
| |
1. ถูกทั้งข้อ 1,2 และ 3 |
2. ถูกเฉพาะข้อ 1 และ 2 |
| |
3. ถูกเฉพาะข้อ 3 |
4. ผิดทั้งข้อ 1, 2 และ 3 |
 |
| |
|
|
| 14. เซตคำตอบของอสมการ|2x+3| < |x-4| เท่ากับข้อใด |
| |
1.  |
2.  |
| |
3.  |
4.  |
 |
| |
|
|
| 15. เซตคำตอบของอสมการ |4x+5| > |3x-1| เท่ากับข้อใด |
| |
1.  |
2.  |
| |
3.  |
4.  |
 |
| |
|
|
16 . เซตคำตอบของ คือ |
| |
1.  |
2.  |
| |
3.  |
4.  |
 |
| |
|
|
17. ค่าของ x ที่สอดคล้องกับอสมการ  |
| |
1. x < 3 หรือ x < 1 |
2. -3 < x < 1 |
| |
3. x < 1 |
4.  |
 |
| |
|
|
18. เซตคำตอบของอสมการ เป็นสับเซตฃองเซตในข้อใด |
| |
1. (-10,4) |
2. (-9,-2) U (1,7) |
| |
3. (-5,8) |
4. (-10,-3) U (3,8) |
 |
| |
|
|
19. เซตคำตอบของอสมการ คือเซตในข้อใด |
| |
1. เซตว่าง |
2.  |
| |
3.  |
4. ข้อ 1, 2, 3 ไม่มีข้อใดถูก |
 |
| |
|
|
| 20. เซตของ x ซึ่งทำให้ |2x-3| < 2x + 3 คือ |
| |
1.  |
2.  |
| |
3.  |
4.  |
 |
 |