
แบบทดสอบหลังเรียน บทที่ 1
1. ถ้า A = {1,2,3,4,5}, B = {2,4,6,8,10,12} และ r = แล้ว เซต r เขียนแบบแจกแจงสมาชิกได้เท่ากับข้อใด |
| |
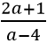
1. {(1,2), (3,4), (4,6), (5,10)} |
2. {(1,2), (2,3), (3,4), (4,5), (5,6)} |
| |
3. {(1,2), (2,4), (3,6), (4,8), (5,10)} |
4. {(1,2), (2,4), (3,5), (4,6), (5,8)} |
 |
| |
2. ถ้า A = {1, 2, 3, 4, 6, 8}; B = {2, 4, 5, 6, 7, 10} และ และ r = แล้ว Rr เท่ากับข้อใด |
| |
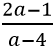
1. {2,3,4,8} |
2. {1,2,3,4,6,8} |
| |
3. {4,5,6,10} |
4. {3,4,5,6,8,10} |
 |
| |
|
|
3. กำหนดให้ r = จะได้ Rr คือข้อใด |
| |
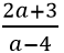
1. R – {1} |
2. R – {-1, 1} |
| |
3.  |
4.  |
 |
| |
|
|
4. ถ้าเอกภพสัมพัทธ์คือเซตของจำนวนจริงแล้ว เรนจ์ของความสัมพันธ์ r = คือข้อใด |
| |
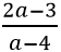
1.  |
2.  |
| |
3.  |
4.  |
 |
| |
|
|
5. โดเมนและเรนจ์ของความสัมพันธ์ คือข้อใด |
| |
1.  |
2.  |
| |
3.  |
4.  |
 |
| |
|
|
6. ถ้า แล้ว เท่ากับข้อใด |
| |
1. [-2,6] |
2. [-1,3] |
| |
3. [-3,0] |
4. [-3,-1] |
 |
| |
|
|
7. ถ้า และ A = [-2,3] แล้ว  |
| |
1. [-2,0) U (0,3) |
2. [-2,0) U (0,1) U (1,3) |
| |
3. [-2,1) U (1,3] |
4. [-2,1) U (0,1) U (1,3] |
 |
| |
|
|
8. กำหนดความสัมพันธ์ r = จำนวนสมาชิกของ Rr |
| |
1. 2 |
2. 4 |
| |
3. 6 |
4. 8 |
 |
| |
|
|
| 9. ถ้า f = {(1,5),(2,8),(3,10),(4,12)} แล้ว f(1) + f(2) + f(3) - f(4) มีค่าเท่าใด |
| |
1. 2 |
2. 11 |
| |
3. 12 |
4. 13 |
 |
| |
|
|
10. ถ้า f(x) = แล้ว f(x + 4) เท่ากับข้อใด |
| |
1.  |
2.  |
| |
3.  |
4.  |
 |
| |
|
|
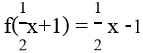
| 11. ถ้า f(2x+1) = x + 4 แล้ว f (x) + f (2x + 3) เท่ากับข้อใด |
| |
1. 3x + 3 |
2.  |
| |
3. 6x – 5 |
4. 6x - 8 |
 |
| |
|
|
| 12. ถ้า h(x + 4) = x - 2 แล้ว h-1(2a + b) เท่ากับข้อใด |
| |
1. 2a + b + 6 |
2. 2a + 3b+ 6 |
| |
3. a + 2b - 2 |
4. a + 2b + 6 |
 |
| |
|
|
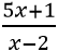
13. กำหนดให้ f(x) = ถ้า a เป็นจำนวนจริง ซึ่ง a ≠ 4 แล้ว f -1(a + 1) คือข้อใด |
| |
1.  |
2.  |
| |
3.  |
4.  |
 |
| |
|
|
| 14. ถ้า f(2x + 3) = x + 1 แล้ว f -1(2) มีค่าเท่าใด |
| |
1. 5 |
2. 6 |
| |
3. 7 |
4. 8 |
 |
| |
|
|
15. กำหนดให้ จะได้ว่า f -1(2) มีค่าเท่ากับข้อใด |
| |
1. 6 |
2. 4 |
| |
3. 2 |
4. ไม่มีคำตอบที่ถูกต้อง |
 |
| |
|
|
16. กำหนดให้ จงหาค่าของ hogof(x) |
| |
1.  |
2.  |
| |
3.  |
4. 1 - x |
 |
| |
|
|
17. ถ้า g -1(x) = และ (gof)(x+1) = 2 - 6x - 3x2 แล้ว f(x) เท่ากับข้อใด |
| |
1. 3x2 |
2. 3(x+1)2 |
| |
3.  |
4.  |
 |
| |
|
|
18. กำหนดให้ f(x) = และ g(x) = x - 3 แล้ว (fog)(1 - x) คือข้อใด |
| |
1.  |
2.  |
| |
3.  |
4.  |
 |
| |
|
|
| 19. กำหนดให้ f(2x-1) = x3 - 3x2 + 3x + 2 ข้อใดคือค่าของ f-1(3) + f-1(-5) |
| |
1. 5 |
2. 0 |
| |
3. -2 |
4. -5 |
 |
| |
|
|
| 20. f(x) = 3x-1 และ g(x) = (x-1)3 ค่าของ 2f1 (2)+3g-1(1) |
| |
1. 7 |
2. 8 |
| |
3. 10 |
4. หาค่าไม่ได้ |
 |
 |