|

แรง (Force) หมายถึง ปริมาณที่กระทำกับวัตถุแล้วทำให้วัตถุมีการเปลี่ยนสถานภาพเคลื่อนที่ แรง (F) เป็นปริมาณเวกเตอร์ มีหน่วยเป็นนิวตัน (N)
มวล (Mass) หมายถึง ปริมาณที่วัตถุต้านสภาพการเคลื่อนที่
ความเฉื่อย (Inertia) 
ปริมาณที่ต้านสภาพการเคลื่อนที่มีค่ามากหรือน้อย คือ มวล ( m ) มวลปริมาณสเกลาร์ในระบบเอสไอ เป็นหน่วยฐาน มีหน่วยเป็นกิโลกรัม ( kg)
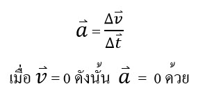
สภาพการเคลื่อนที่ (state of motion) หมายถึง วัตถุทีอยู่นิ่งถูกแรงกระทำให้มีการเปลี่ยนความเร็วเพิ่มขึ้น หรือวัตถุที่มีความเร็วถูกแรงกระทำให้มีการเปลี่ยนความเร็วลดลง เรียกว่า เปลี่ยนสภาพการเคลื่อนที่ หมายถึง ลักษณะของวัตถุ อยู่นิ่ง หรือเคลื่อนที่ด้วยความเร็วคงตัวตลอดไป
ในกรณีที่มีแรงเพียงแรงเดียวกระทำวัตถุ วัตถุตะมีการเปลี่ยนสภาพการเคลื่อนที่เสมอ แต่ถ้าวัตถุไม่เปลี่ยนสภาพการเคลื่อนที่ แสดงว่ามีแรงอื่นมากระทำวัตถุด้วยผลรวมของรงมีค่าเป็นศูนย์
แรงเป็นปริมาณเวกเตอร์
เขียนแทนได้ด้วยลูกศรเวกเตอร์ แรงขนาด 10 N ดึงวัตถุไปทางขวา


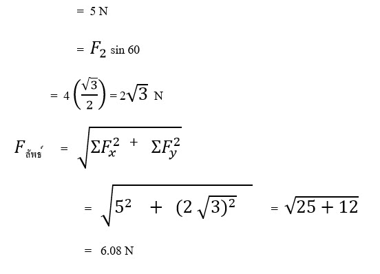
แรงเป็นปริมาณเวกเตอร์เมื่อมีแรงมากกว่า 2 แรง มากระทำบนวัตถุอันเดียวกัน ก็สามารถรวมกันได้ ผลรวมของแรงหลายแรงเขียนเป็น ( ซิกมา F ) เรียกว่า แรงลัพธ์ ( Resultant force )  
 การรวมเวกเตอร์ของแรง 1.สร้างรูปหลายเหลี่ยมปิด








มีแรงกระทำวัตถุ 7 นิวตัน ทิศไปทางขวามือ
กฎการเคลื่อนที่ของนิวตัน
3.2 กฎการเคลื่อนที่ ข้อที่ 1  ของนิวตัน
 กฎการเคลื่อนที่ข้อที่หนึ่งของนิวตันนี้มีชื่อเรียกอีกอย่างหนึ่ง คือ กฎ (Low of inertia)
วัตถุที่เป็นไปตามกฎการเคลื่อนที่ข้อหนึ่งของนิวตัน จะมีความเร่งเป็นศูนย์ เหตุผลเพราะว่า วัตถุไม่มีการเปลี่ยนแปลงความเร็ว เนื่องจาก

ตัวอย่างการเคลื่อนที่ของวัตถุที่เป็นไปตามกฎการเคลื่อนที่ข้อที่หนึ่งของนิวตัน เมื่อผู้โดยสารยืนอยู่ในรถประจำทางหยุด และรถโดยสารออกรถอย่างกะทันหัน ผู้โดยสารจะเซไปทางด้านหลังและเมื่อหยุดรถกะทันหัน จะเซไปข้าหน้าเป็นเพราะว่าผู้โดยสารเป็นไปตามกฎการเคลื่อนที่ข้อที่หนึ่งของนิวตัน
3.3 กฎการเคลื่อนที่ ข้อที่ 2  กฎการเคลื่อนที่ข้อที่สองของนิวตัน
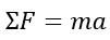
กฎการเคลื่อนที่ข้อสองของนิวตัน คือ เมื่อแรงลัพธ์ซึ่งมีขนาดไม่เป็น ศูนย์มากระทำต่อวัตถุ วัตถุเปลี่ยนสภาพการเคลื่อนที่จะทำให้วัตถุเกิดความเร่งในทิศเดียวกับแรงลัพธ์ที่มากระทำ และขนาดของความเร่งจะแปรผันตรงกับขนาดของแรงลัพธ์ และจะแปรผันกับมวลวัตถุ
จากกฎการเคลื่อนที่ข้อที่สองของนิวตัน แสดงว่า

หรือ

หรือ 
เมื่อเปลี่ยนความสัมพันธ์ในเชิงการแปรผันเป็นสมการจะได้
F = ka
ในระบบเอสไอใช้หน่วยของแรงเป็นนิวตัน โดยกำหนดให้แรง 1 นิวตันเป็นแรงที่ทำให้วัตถุมวล 1 kg เคลื่อนที่ด้วยความเร่ง 1 m/s2
ดังนั้น ถ้า F = 1N, m = 1 kg จะได้ a = 1 m/s2
1N = k ( 1 kg) ( 1 m/s2)
k = 1
จึงเขียนสมการใหม่เป็น

3.4 กฎการเคลื่อนที่ ข้อที่ 3 ของนิวตัน
กฎการเคลื่อนที่ข้อที่สามของนิวตัน คือ เมื่อแรงกระทำกับวัตถุ ทุกแรงกิริยาจะต้องมีแรงปฏิกิริยาที่มีขนาดเท่ากันและทิศตรงข้ามเสมอ
ออกแรงผลักผนังดังรูป

แรงทั้งสองนี้ เรียกว่า แรงคู่กิริยาปฎิริยา

แรงที่ดึงเส้นเชือกจะส่งผ่านเส้นเชือก ทำให้เส้นเชือกดึงวัตถุด้วยแรงขนาดเท่ากัน ถ้ามวลของเชือกน้อยมากเมื่อเทียบกับมวลวัตถุ แรงที่เส้นเชือกดึงวัตถุนี้เรียกว่าแรงดึง ( Tension ) หรือความดึง

3.5 น้ำหนัก (Weight)
น้ำหนัก หมายถึง แรงที่โลกดึงดูดวัตถุมีทิศเดียวกับความเร่ง น้ำหนักเป็นปริมาณเวกเตอร์น้ำหนักคือแรงจึงมีหน่วยเป็นนิวตัน เมื่อปล่อยวัตถุให้ตกอย่างเสรี ภายใต้แรงดึงดูดของโลก วัตถุจะตกลงมาด้วยน้ำหนัก ตามกฎเคลื่อนที่ข้อที่สองของนิวตัน 


จะได้ว่าอัตราส่วนของน้ำหนักของวัตถุ 2 ก้อน จะเท่ากับอัตราส่วนของมวลของวัตถุทั้งสอง เมื่ออยู่บริเวณเดียวกัน เราจึงสามารถหาน้ำหนักของวัตถุใด ๆ เทียบกับน้ำหนักของมวลมาตรฐาน โดยทั่วไปคนนิยมที่จะบอกน้ำหนักในหน่วยของมวล เช่น ส้ม มีน้ำหนัก 1 kg ซึ่งแท้จริงแล้ว หมายถึง น้ำหนักของส้มเทียบกับน้ำหนักของมวลมาตรฐานมีค่าเท่ากัน
การวัดน้ำหนักของวัตถุ ทำได้โดยการใช้เครื่องชั่งสปริงหรือใช้คานเปรียบเทียบน้ำหนักที่เรียกกว่า ตาชั่งสองแขน
การวัดน้ำหนักโดยใช้ตาชั่งสองแขนจะอ่านค่าได้ถูกต้องเมื่อแขนอยู่ในตำแหน่งสมดุล มวลมาตรฐานเท่ากับมวลของวัตถุ ดังนั้นน้ำหนักมาตรฐานก็เท่ากับน้ำหนักของวัตถุ


แรงดึงเชือกมีค่าเท่าใด ตาชั่งสปริงจะอ่านค่าได้เท่านั้นด้วย ถ้าแรงดึงเชือก T เปลี่ยนไป ค่าที่อ่านได้บนตาช่างจะเปลี่ยนไปด้วย
เป็นน้ำหนักที่แท้จริง เป็นน้ำหนักที่เกิดจากโลกดึงดูดวัตถุและ T เป็นน้ำหนักที่อ่านได้บนตาชั่ง ถ้าตาชั่งอยู่นิ่งหรือเคลื่อนที่ด้วยความเร็วคงตัว แรง T = mg น้ำหนักที่อ่านได้บนตาชั่งจะถูกต้อง แต่ถ้าตาชั่งมีการเคลื่อนที่ด้วยความเร่ง น้ำหนักที่อ่านได้จากตาชั่งจะไม่ตรงกับน้ำหนักจริง

การใช้กฎการเคลื่อนที่ของนิวตัน
1. กฎการเคลื่อนที่ข้อที่หนึ่ง
วัตถุจะคงสภาพอยู่นิ่งหรือสภาพการเคลื่อนที่ด้วยความเร็วคงตัวในแนวตรงนอกจากแรงลัพธ์ซึ่งมีค่าไม่เป็นศูนย์มากระทำ จากกฎข้อนี้อธิบายในฟิสิกส์เรื่องสมดุล คือ ผลรวมของแรงที่กระทำกับวัตถุมีค่าเป็นศูนย์


วัตถุจะสมดุลเมื่อผลรวมของแรงทั้งหมดเป็นศูนย์ จะพิจารณาเพียงแกน X หรือแกน Y อย่างเดียวว่าเป็นศูนย์ไม่ได้
2. กฎการเคลื่อนที่ข้อที่สอง
เมื่อมีแรงลัพธ์ซึ่งมีค่าไม่เป็นศูนย์มากระทำกับวัตถุ วัตถุนั้นจะมีความเร่งในทิศเดียวกับแรงลัพธ์ที่มากระทำ และขนาดความเร่งนี้จะแปรผันตรงกับขนาดของแรงลัพธ์และแปรผกผันกับมวลของวัตถุ
จากกฎข้อนี้อธิบายวัตถุที่เคลื่อนที่มีความเร็วเปลี่ยนแปลงจากเดิม วัตถุจะมีความเร่ง


3. กฎการเคลื่อนที่ข้อที่สาม
ทุกแรงกิริยาจะต้องมีแรงปฏิกิริยาที่มีขนาดเท่ากันและมีทิศตรงข้ามเสมอ จากกฎข้อนี้อธิบายว่าเมื่อมีแรงกิริยากระทำวัตถุจะต้องมีแรงปฏิกิริยาที่ มีขนาดเท่ากันและมีทิศตรงข้าม โดยมีข้อสังเกตดังนี้
1. แรงกิริยาและปฏิกิริยา กระทำต่อวัตถุคนละก้อน

2. แรงคู่กิริยา-ปฏิกิริยา มีขนาดเท่ากันและทิศตรงกันข้ามเสมอ ไม่ว่าจะระบบจะหยุดนิ่งหรือเคลื่อนที่
แนวทางวิเคราะห์โจทย์โดยใช้กฎการเคลื่อนที่ของนิวตัน
1. พิจารณาง่ามีแรงใดบ้างกระทำต่อวัตถุนั้น โดยเขียนแผนภาพแทนวัตถุ แล้วเขียนแรงภายนอกทุกแรงพร้อมทิศทางที่กรำกับวัตถุนั้น

ข้อสังเกต แรงที่ใช้เขียนเวกเตอร์แทนแรงบนแผนภาพ ได้แก่
T เป็นแรงดึงในเส้นเชือก
mg,w เป็นน้ำหนัก มีทิศพุ่งสู่พื้นโลกเสมอ
N เป็นแรงปฏิกิริยาในแนวฉาก ทิศองแรง N จะต้องตั้งฉากกับ ผิวสัมผัสเสมอ
R,R’ เป็นแรงคู่กิริยา ข ปฏิกิริยา
f เป็นแรงเสียดทาน มีทิศต้านการเคลื่อนที่
F เป็นแรงที่คน เครื่องยนต์ หรือ แรงจากสัตว์ กระทำกับวัตถุ
2. เมื่อระบบการเคลื่อนที่มีวัตถุหลายตัว สามารถเขียนแผนภาพแยกจากกัน (Free body diagram F.B.D.) เพื่อสะดวกในการพิจารณาตามกฎการเคลื่อนที่โดยถือว่าระบบเคลื่อนที่พร้อมกัน ความเร่งต้องเท่ากัน ตัวอย่างเช่น
รูปแบบที่ 1










3. เมื่อมีแรงกระทำวัตถุหลายแรง จะต้องใส่ระบบพิกัดฉาก x แกน y กับระบบวัตถุ โดยให้แกนใดแกนหนึ่งอยู่แนวเดียวกับความเร่ง เมื่อปรากฏว่ามีแรงบางแรงไม่อยู่ในแนวแกน x หรือ y ให้แยกแรงนั้นเป็นแรงย่อยตามแนวแกน ตัวอย่างเช่น





แยก F.B.D.
พิจารณามวล m

พิจารณาที่มวล M




ตัวอย่างที่ 3 วัตถุ 
ผูกด้วยเชือกคล้องผ่ารอกกลื่นและพื้นลื่นดังรูป เมื่อระบบเคลื่อนที่ จงหา
1. ความเร่งของระบบ
2. ความตึงเชือกทั้งสอง



จากสมการ (1) + (2) + (3) และความเร่ง a เท่ากัน
20 - 10 = 5a

แทนค่า a ใน (1) และ (3)

ตัวอย่างที่ 4 วัตถุมวล m = 10 kg ไกลลงตามพื้นเอียงที่มีแรงเสียงเสียดทาน 5 N พื้นเอียงทำมุม 30 องศา กับแนวราบ จงหาความเร่งของวัตถุ และแรงปฏิกิริยาในแนวฉาก
วิธีทำ วัตถุไกลลงพื้นเอียง ความเร่งอยู่แนวเดียวกับพื้นเอียง แยกแรง mg







ข้อสังเกต
1. น้ำหนักที่อ่านได้บนตาช่างจะเท่ากับน้ำหนักจริงก็ต่อเมื่อระบบหยุดนิ่งตามกฎการเคลื่อนที่ข้อที่หนึ่งของนิวตัน 
2. เมื่อทิศของความเร่งของวัตถุ ตั้งฉากกับทิศของน้ำหนัก หนักที่อ่านได้บนตาชั่งจะเท่ากับน้ำหนักจริง
เมื่อคนมายืนอยู่บนตาชั่งซึ่งวางอยู่ที่พื้น สามารถเขียนเวกเตอร์แทนแรงได้ดังนี้


ตัวอย่างที่ 6 ชายคนหนึ่งมวล 80 kg ยืนอยู่บนตาชั่งวางอยู่ในลิฟต์ จงหาน้ำหนักที่อ่านจากตาชั่ง เมื่อ
1. ลิฟต์อยู่นิ่ง
2. ลิฟต์เคลื่อนที่ขึ้นด้วยความเร็วคงที่ 2 m/s2
3. ลิฟต์เคลื่อนที่ขึ้นด้วยความเร่ง 1 m/s2
4. ลิฟต์เคลื่อนที่ขึ้นด้วยความหน่วง 1 m/s2
5. ลิฟต์เคลื่อนที่ลงด้วยความเร่ง 1 m/s2
6. ลิฟต์ขาดตกอิสระ
วิธีทำ ลิฟต์อยู่นิ่ง a = 0



ลิฟต์เคลื่อนที่ขึ้นด้วยความหน่วง 1 m/s2 แสดงว่าทิศความเร่งลง ช่วงนี้เป็นลักษณะลิฟต์เบรกก่อนหยุด


ลิฟต์ขาดและตกอิสระ

ไม่สามารถอ่านค่าน้ำหนักบนตาชั่งได้ เพราะแรง N = 0 เราเรียก สภาวะนี้ว่า “สภาวะเหมือนไร้น้ำหนัก”



แรงเสียดทาน หมายถึง แรงต้านการเคลื่อนที่ของวัตถุที่ผิวสัมผัสของวัตถุ เมื่อวัตถุมีความพยายามจะเคลื่อนที่หรือเคลื่อนที่ไป


แรงเสียดทาน แบ่งเป็น 2 ลักษณะ
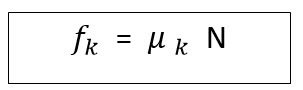
1. แรงเสียดทานสถิติ ( static frictional) เกิดขึ้นเมื่อวัตถุมีแรงลัพธ์มาทำให้วัตถุพยายามจะเคลื่อนที่ จนวัตถุเริ่มเคลื่อนที่ แรงเสียดทานสถิติมีค่าไม่คงตัว จะมีค่าน้อยที่สุดเป็นศูนย์จนถึงมีค่ามากที่สุด มีค่ามากที่สุดเมื่อวัตถุเริ่มเคลื่อนที่ ดังนั้นแรงเสียดทานสถิติจะเกิดขึ้นเมื่อยังเห็นวัตถุหยุดนิ่ง
2. แรงเสียดทานจลน์ (kinetic friction), เกิดขึ้นเมื่อวัตถุเคลื่อนที่ แรงเสียดทานจลน์มีทิศตรงข้ามกับการเคลื่อนที่ และมีค่าคงตัวไม่ว่าวัตถุจะเคลื่อนที่ด้วยความเร็วคงตัวหรือเปลี่ยนความเร็วไปแรงเสียดทานสูงสุดของวัตถุ ที่ผิวสัมผัสคู่หนึ่ง
1. แรงเสียดทานจะแปรผันตรงกับแรงปฏิกิริยาในแนวฉากองวัตถุ 
f เป็นแรงเสียดทาน
N เป็นแรงปฏิกิริยาในแนวฉาก
2. แรงเสียดทานขึ้นอยู่กับชนิดของผิวสัมผัส คู่หนึ่ง ๆ และลักษณะของผิว ดังนั้น สรุปแรงเสียทานสูงสุดได้คือ

คือแรงสิทธ์ประสิทธ์ความเสียดทาน ระหว่างผิวสัมผัสคู่หนึ่ง





ตัวอย่างที่ 7 วัตถุมวล 10 kg ออกแรง F กระทำกับวัตถุในแนวราบดังรูป ให้เคลื่อนที่ด้วยความเร่ง 2 m/s2 สัมประสิทธิ์ความเสียดทานเป็น 0.25 จงหาแรง F

วิธีทำ


นั่นคือแรง F ที่ทำให้มวลเคลื่อนที่มีค่าเป็น 45 N
ตัวอย่างที่ 8 วัตถุมวล 10 kg ออกแรง 100 นิวตัน ทำมุม 37 กับแนวราบการกระทำวัตถุถ้าสัมประสิทธิ์ความเสียดทานระหว่างพื้นกับวัตถุเป็น 0.5 จงหาความเร่งของวัตถุ 
วิธีทำ

a = 6 m/s2
นั่นคือ เมื่อออกแรง F จะทำตัวให้วัตถุเคลื่อนที่ด้วยความเร่ง 6 m/s2
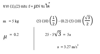
ตัวอย่างที่ 9 ปล่อยวัตถุมวล 5 kg ให้ไถลลงตามพื้นเอียงที่ทำมุม 30 มีสัมประสิทธิ์ความเสียดทานระหว่างพื้นกับวัตถุเป็น 0.2 จงหาความเร่งของวัตถุที่ไถลลงมาจากพื้นเอียง 


นั่นคือ ความเร่งของวัตถุที่ไถลลงมาเป็น 3.27 m/s2
กฎแรงดึงดูดระหว่างมวลของนิวตัน
จากการศึกษาเรื่องการโคจรของดาวเคราะห์ในระบบสุริยะ นิวตันได้อธิบายว่าการที่ดาวเคราะห์โคจรรอบดวงอาทิตย์ได้ เนื่องจากมีแรงดึงดูดระหว่างลวงมวลของดวงอาทิตย์กับดาวเคราะห์ ซึ่งเป็นแรงดึงดูดระหว่างโลกกับวัตถุที่ผิวโลกและแรงดึงดูดระหว่างวัตถุชนิดในเอกภพ
กฎแรงดึงดูดระหว่างมวล มีใจความว่า “วัตถุทั้งหลายในเอกภพจะออกแรงดึงดูดระหว่างวัตถุคู่หนึ่ง ๆ แรงดึงระหว่างวัตถุจะแปรผันตรงกับผลคูณระหว่างมวลวัตถุทั้งสองและแปรผกผันกับกำลังสองของระยะทางระหว่างวัตถุทั้งสองนั้น


แรงดึงดูดระหว่างมวลเป็น “แรงกระทำร่วม” โดยร่วมที่มวลหนึ่งดึงดูดมวลที่สองและมวลที่สองดึงดูดมวลที่หนึ่ง นั่นคือเป็นกิริยา-ปฏิกิริยา

เมื่อให้ m2 และ m2 คงที่
มวลของโลก ในการหาค่ามวลวัตถุที่มีขนาดใหญ่ สามารถใช้กฎแรงดึงดูดระหว่างมวลของนิวตันคำนวณหาได้เมื่อ วางวัตถุมวล m ที่ผิวโลก


เราสามารถหามวลของดาวเคราะห์ดวงอื่น ๆ โดยใช้กฎแรงดึงดูดระหว่างมวลได้และจากกฎแรงดึงดูดระหว่างมวล สามารถหาค่าความเร่งเนื่องจากความโน้มถ่วง ณ ตำแหน่งที่ห่างจากผิวโลกต่าง ๆ กัน
3.7.1 ความเร่งเนื่องจากความโน้มถ่วง ณ ตำแหน่งที่ห่างจากผิวโลก ความเร่งเนื่องจากความโน้มถ่วงของโลก

ดังนั้น สามารถหาความเร่งเนื่องจากความโน้มถ่วง หรือสนามโน้มถ่วงของดาวเคราะห์ต่าง ๆ ได้


สนามโน้มถ่วงจะมากที่สุดที่ผิวโลก เมื่ออยู่ห่างออกไปค่า g จะลดลงแต่เมื่อเจาะเข้าไปใต้ผิวโลก ค่า g จะลดลงเช่นกัน ตำแหน่งที่ศูนย์กลางโลกค่า g เป็นศูนย์
3.7.2 สภาพไร้น้ำหนัก
น้ำหนัก คือ แรงดึงดูดที่โลกทำกับวัตถุมวล m น้ำหนักมีค่าเป็น

โดยถ้า m เป็นค่าคงที่
แต่ g เป็นความเร่งเนื่องจากความโน้มถ่วง ฯ ตำแหน่งใด ๆ

เมื่อ R คือระยะจากจุดศูนย์กลางโลกตำแหน่งนั้น
ดังนั้นถ้า g มีค่าเป็นศูนย์ด้วย
G จะเป็นศูนย์ได้ คือ
1.R มีค่ามากถึงระยะอนันต์ มีน้ำหนักก็จะมีค่าเป็น 0
2.ผลรวมของ มวลต่าง ๆ ณ ตำแหน่งนั้นเป็นศูนย์ น้ำหนักมีค่าเป็นศูนย์
3.ที่จุดศูนย์กลางของโลก ผลรวมของ g มีค่าเป็นศูนย์
4.การตกแบบเสรีภายใต้แรงดูดของโลก เราจะอ่านค่าน้ำหนักโดอ้อมจากตาชั่งได้เป็นศูนย์ แต่น้ำหนักจริงยังคงมีค่าอยู่เราเรียกว่า สภาพเหมือนไร้น้ำหนัก (apparent weightlessness ) เช่น คนยืนบนตาชั่งที่อยู่ในลิฟต์ ขณะหยุดนิ่ง แรงน้ำหนักจะเท่ากับแรงตาชั่งดันคน แต่เมื่อลิฟต์ขาดคนและตาชั่งเคลื่อนที่ด้วยความเร่งเท่ากันแรงที่เท้ากดตาชั่งเป็น ศูนย์ แรงที่ตาชั่งดันเท่าก็เป็นศูนย์ด้วย น้ำหนักที่อ่านได้จากตาชั่งจึงเป็นศูนย์ แต่น้ำหนักจริงยังคงมีอยู่
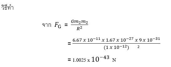
ตัวอย่างที่ 10 จงหาแรงดูดระหว่างมวลของโปรตอนและอิเล็กตรอนใน อะตอมของไฮโดรเจน กำหนดให้มวลโปรตอน 1.67 x 10-27kg มวลของอิเล็กตรอน 9 x 10-31kg อยู่ห่างกัน 1 x 10-12 m G = 6.67 x 10-11 Nm2 / Kg 2

นั่นคือ แรงดึงดูดระหว่างมวลของโปรตอนและอิเล็กตรอนเป็น 1.0025 x 10-43 N ซึ่งถือว่ามีค่าน้อยมากเมื่อเทียบกับแรงทางไฟฟ้า

นั่นคือ แรงดึงดูดระหว่างมวลมีค่าเป็น 1.00 x 10-7N




|