

พิจารณากราฟของฟังก์ชัน y = 3X เมื่อ x เป็นจำนวนตรรกยะ
นิยาม ฟังก์ชันเอกซ์โพเนนเชียล คือ ฟังก์ชันที่เขียนอยู่ในรูป


จงระบุว่าฟังก์ชันใดเป็นฟังก์ชันเอกซ์โพเนนเชียล




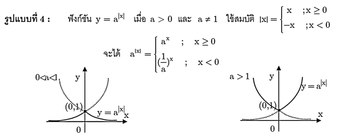
สรุป กราฟ ของฟังก์ชันเอกซ์โพเนนเชียลมีลักษณะดังนี้


จงระบุว่าฟังก์ชันเอกซ์โพเนนเชียลต่อไปนี้เป็นฟังก์ชันเพิ่มหรือฟังก์ชันลด







จงเขียนกราฟต่อไปนี้ พร้อมทั้งบอกโดเมนและเรนจ์








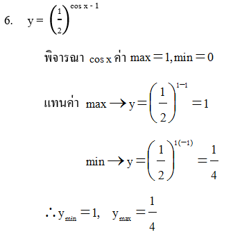
หาค่าสูงสุด และค่าตํ่าสุดของ
 
 
 
 
 
 



โดยอาศัยสมบัติของการเป็นฟังก์ชัน หนึ่งต่อหนึ่งของฟังก์ชันเอกซ์โพเนนเชียล เราจะสามารถหาคําตอบของสมการทีมีฟังก์ชันเอกซ์โพเนนเชียลนั้นได้ มีรูปแบบของสมการอย่างกว้างๆ ดังนี้
รูปแบบที่ 1 ใช้สมบัติของฟังก์ชัน 1 – 1 ถ้า แล้วสรุปว่า 
รูปแบบที่ 2 ทำสมการให้อยู่ในรูปสมการกำลังสอง 
โดยที่ แทนรูปของเอกซ์โพเนนเชียล แล้วใช้วิธีการแยกตัวประกอบหรือใช้สูตร

รูปแบบที่ 3 ถ้าสมการดังกล่าวไม่สามารถทำฐานของเลขยกกำลัง ให้เท่ากันได้จะต้องใช้วิธีการทำให้เป็นลอการิทึมเพื่อช่วยในการแก้ปัญหา

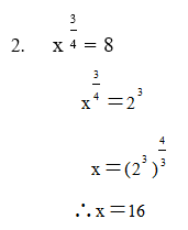
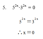
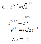
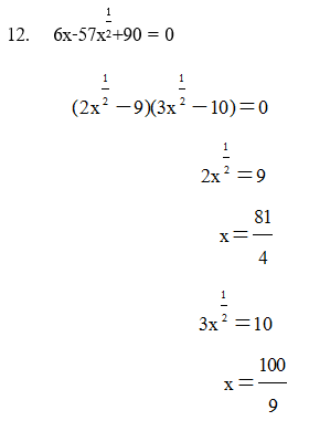
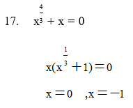
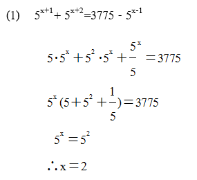
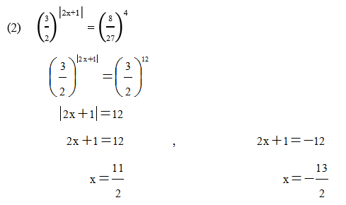
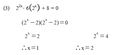
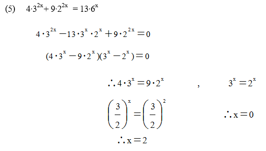
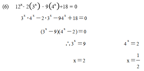
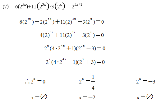
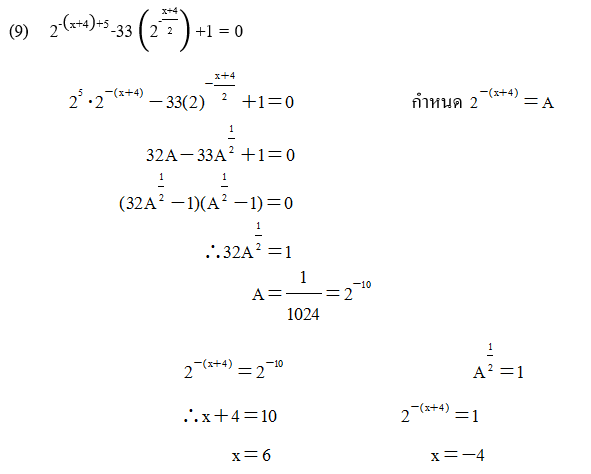
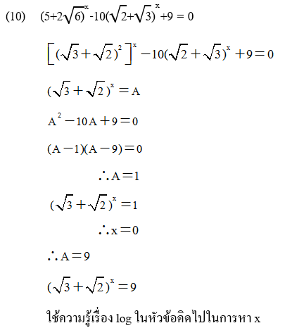
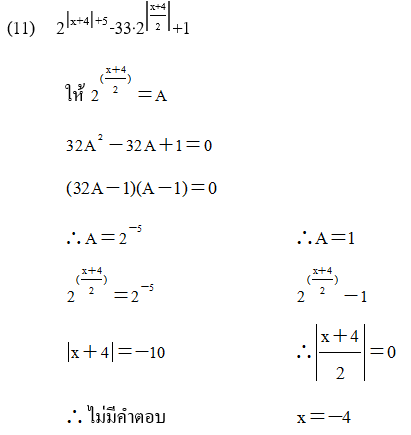
จงหาเซตคําตอบของสมการต่อไปนี้
 
 
 
 
 
 
 
 
 
 
 
 
 
 
 
 
 
 
 
 

จงหาตอบคำถามต่อไปนี้
 
 
 
 
 
 
 
 
 
 
 



การแก้อสมการ เอกซ์โพเนนเชียล จะต้องนำความรู้เกี่ยวกับฟังก์ชันเพิ่มและฟังก์ชัน ลดมาใช้นั่นคือ
กรณี 1. ถ้า 0 < a < 1 (ฟังก์ชันลด) แล้ว a < ก็ต่อเมื่อ >
กรณี 2. ถ้า a > 1 (ฟังก์ชันเพิ่ม) แล้ว aD < ก็ต่อเมื่อ < 
ยกตัวอย่างเช่น
 
 



 |